Nuclear Science Lab
This page is incomplete. |
| Nuclear Science Lab | |
|---|---|
| Type | Physics |
| Category | Lab |
Nuclear Science Lab was a trial event for Texas Division C in the 2011 season. It is an event based solely on nuclear reactions and their uses. Students are expected to be able to use radiation detection equipment and have knowledge of topics such as radiation, terminology, and nuclear decay reactions. Students are allowed to bring a scientific calculator, but NOT a graphing calculator. No resource materials may be brought to the event.
The Event
The first part of the event consists of experimental/practical tasks relating to nuclear instrumentation and half life. Students should be prepared to construct graphs with any data they collect. Lab topics may include half-life and decay, background radiation, shielding effectiveness, and the inverse square law. Geiger-Mueller tubes/counters, radioactive sources, and shielding materials are all provided by the supervisor.
The second part consists of a written test focusing on the design and operation of nuclear power plants. Topics of the test include but are not limited to: nuclear reactions, nuclear materials, PWR and BWR technology, radiation types, nuclear fuel cycle, and nuclear fission.
Half Life and Decay
The Half-life of a substance is the time it takes for half of the radioactive atoms to decay. Atoms with a higher half-life are more stable, lasting longer than those with a shorter half-life. After the first half-life, it takes another half-life for half of the remaining amount to decay. Thus, radioactive decay is exponential, and can be found with the equation
Half-life is used in a variety of applications, including radioactive dating. The original term was coined by Ernest Rutherford, who measured the decay period of radium.
Background Radiation
Stars, galaxies, and black holes emit large levels of cosmic radiation. However, at such a distance, we don't get much of it, see Inverse Square Law. In addition, sources from earth such as Carbon-14, nuclear power plants, airplanes, X-ray machines, etcetera contribute to background radiation.
Background radiation is not significant in comparison with specific radiation sources.
Effectiveness of Shielding
Paper or human skin is enough to shield alpha radiation (helium nuclei), while aluminum or several layers of skin is enough to shield beta radiation (electrons). Lead is required to shield gamma radiation (photons). The thicker the shielding, the lower the intensity of the radiation. A given shielding's half-value thickness is the thickness it needs to be at to reduce incoming radiation by half. For example, lead's half-value thickness against gamma rays is 4.8 mm.
Inverse Square Law
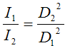
The inverse square law provides a geometrical and mathematical explanation for point source phenomena, such as light, sound, gravity, and electric fields. Radiation also obeys this principle. The essence of this law is that as the energy travels further from the source, whether it be a light bulb or a radioactive blob, the intensity of the energy decreases to remain equal over all area covered. Therefore, the intensity of the radiation is inversely proportional to the distance from the source thereof. There are, of course, some constraints to using this law. First, the point source must be able to spread its radiation in all directions equally, creating an ever-expanding circle. Secondly, this law is only useful if at least three of the values in the equation, or a way to find at least three values, are present. This will be described and expounded upon hereafter.
- The formula for this law is shown in the following image, where I represents the intensity of the radiation at distances 1 and 2 respectively (shown as I1, I2), and D represents the distance from the radiation source at points 1 and 2 respectively).

Alternatively, the equation can be expressed as such: This expression is mathematically equivalent, and is simply another form that is easier to use for some scientists. As a piece of general advice, be sure to compare units before using the equation. Take the time to check if all intensities and all distances are in the same units, and if not, take the time to convert the units. Also compare the units to the question and the answer they are asking for.
Types of Nuclear Reactions
Nuclear Fission
Nuclear fission is a type of nuclear reaction in which the nucleus of an atom splits into smaller nuclei. This releases a lot of energy, and creates a lot of free neutrons. It is considered a form of nuclear transmutation, since the resulting elements are different than the starting element. Most fission takes the form of binary fission, which produces two charged fragments.
Chemical elements that can sustain a nuclear fission reaction are nuclear fuels, and are considered fissile. Uranium-235 and Plutonium-239 are common examples of nuclear fuels and are used in nuclear reactors.
Transmutation
Nuclear transmutation is the process by which one element is converted into another. This occurs as a result of a variety of nuclear reactions, or simply nuclear decay.
Types of Radiation
Nuclear Fuel Cycle

The nuclear fuel cycle is the steps taken in the processing of nuclear fuel. Some used fuel can be reprocessed, and this cycle is a closed fuel cycle. However, if fuel cannot be reprocessed it is in an open fuel cycle. Both options produce waste, since spent fuel needs to be disposed of and reprocessing plans produce other byproducts.
Scoring
The first part of the event is worth 40 points, and the second part is worth 60. Ties are broken using the score of part 2 first, and then part 1.